Single cell RNA-Seq

Introduction and Quality Control

Kristen Wells

RNA Bioscience Initiative | CU Anschutz

2026-03-27

Contact Info

Greetings experimentalist humans 👋

  kristen.wells-wrasman@cuanschutz.edu

RBI Informatics Fellows Office hours

  rbi.fellows@cuanschutz.edu

Learning key

  • We will switch between lecture and your exercise qmd.
  • To denote a slide that corresponds to your exercise, I will include ⌨️ in the slide title

Learning Objectives

Lecture 1

  • Identify key quality control issues with single cell RNA-seq data and perform filtering to exclude poor quality cells
  • Interact with single cell data using Bioconductor tools

Lecture 2

  • Perform analysis to identify cell types in single cell data by using unsupervised clustering methods and comparing to public datasets
  • Describe the importance and reasoning for conducting each step of the analysis

Single cell or bulk?

Single cell

  • High level overview of general transcriptomic landscape of genes that are expressed highly at the single cell level
    • Sequencing depth is low per cell so we only have confident detection of highly expressed genes
    • Differential expression is less well developed to compare different conditions
  • Most techniques only capture the 5’ or 3’ end
  • Good for identifying subpopulation of cells that change between conditions
    • Doesn’t require prior knowledge of surface proteins to sort out a population
    • Doesn’t average across all cells in the experiment

Bulk

  • Global overview of transcriptomic landscape of an entire sample using high to low expressed genes.
    • Sequencing depth is much deeper so there is higher confidence to detect mid to low range expression
    • Good for novel transcript identification and assessing how global transcriptome changes between conditions
  • Captures full RNA molecule so can be used for RNA-splicing analysis
  • Doesn’t work for subpopulation analysis
    • All cells are averaged so determining what is happening to one cell type is challenging
    • Are your results because of a transcriptomic change or a change in cell type frequencies?

Single cell sequencing

Where is the barcode and UMI?

  • Below is the design for the 3’ 10x genomics assay

  • Other assays may have different locations of there cell barcode and UMI.

  • These may also be different lengths.

  • Or even on read 2 (ex Parse bioscience).

  • Be sure to check what kit was used to prep your data and always perform sanity checks throughout the analysis!

Library prep

Other single cell methods

droplet-based scRNA-seq: e.g. 10x Genomics or Drop-Seq

Smart-seq based scRNA-seq: (bulk-RNA-seq on single cells in individual wells/tubes)

CITE-Seq: gene expression + cell surface protein abundance

VDJ-Seq: Gene expression + targeted sequencing of T-Cell and B-Cell receptors

Many others: ATAC, spatial transcriptomics, DNA sequencing, etc. (see Integrative Single cell analysis)

Overview of analysis steps

flowchart TB
    %% Green nodes
    cr["Process FASTQ to UMI count matrix<br/>(Cellranger, Alevin, or STARsolo)"]

    %% Blue nodes
    cell_qc["QC cells<br/>(% mitochondrial UMIs,<br/># of UMIs/Genes,<br/>remove empty droplets)"]
    norm["Normalize UMI counts<br/>(Normalize by deconvolution)"]
    markers["Discover cell type markers"]
    annot["Annotate cell types"]

    %% Yellow nodes
    feature["Identify variable genes<br/>(a.k.a Feature selection)"]
    dim_red["Dimensionality reduction (PCA)"]
    cluster["Clustering<br/>(using Shared Nearest Neighbors)"]
    viz["Make 2D-Visualization<br/>(PCA, UMAP, tSNE<br/>Force-directed graph)"]
    traj["Trajectory Inference<br/>(Slingshot,<br/>PAGA, scVelo)"]

    %% Orange nodes
    downstream["Downstream analysis<br/>(Differential expression,<br/>Shifts in cell type composition,<br/>Find new cell-types/states)"]

    %% Main workflow connections
    cr --> cell_qc
    cell_qc --> norm
    norm --> feature
    norm --> markers
    feature --> dim_red
    dim_red --> cluster
    dim_red --> traj
    dim_red --> viz
    cluster --> markers
    markers --> annot

    %% Feedback loops (dashed grey)
    annot -.-> cell_qc
    annot -.-> feature
    annot -.-> dim_red
    annot -.-> cluster
    annot --> downstream

    %% Edge labels
    cr -.-|"Load into<br/>SingleCellExperiment"| cell_qc
    annot -.-|"Repeat<br/>as needed"| cell_qc

    %% Color styling
    classDef green fill:#009E73,stroke:#000,stroke-width:2px,color:#000
    classDef blue fill:#56B4E9,stroke:#000,stroke-width:2px,color:#000
    classDef yellow fill:#F0E442,stroke:#000,stroke-width:2px,color:#000
    classDef orange fill:#E69F00,stroke:#000,stroke-width:2px,color:#000

    class cr green
    class cell_qc,norm,markers,annot blue
    class feature,dim_red,cluster,viz,traj yellow
    class downstream orange

flowchart TB
    %% Green nodes
    cr["Process FASTQ to UMI count matrix<br/>(Cellranger, Alevin, or STARsolo)"]

    %% Blue nodes
    cell_qc["QC cells<br/>(% mitochondrial UMIs,<br/># of UMIs/Genes,<br/>remove empty droplets)"]
    norm["Normalize UMI counts<br/>(Normalize by deconvolution)"]
    markers["Discover cell type markers"]
    annot["Annotate cell types"]

    %% Yellow nodes
    feature["Identify variable genes<br/>(a.k.a Feature selection)"]
    dim_red["Dimensionality reduction (PCA)"]
    cluster["Clustering<br/>(using Shared Nearest Neighbors)"]
    viz["Make 2D-Visualization<br/>(PCA, UMAP, tSNE<br/>Force-directed graph)"]
    traj["Trajectory Inference<br/>(Slingshot,<br/>PAGA, scVelo)"]

    %% Orange nodes
    downstream["Downstream analysis<br/>(Differential expression,<br/>Shifts in cell type composition,<br/>Find new cell-types/states)"]

    %% Main workflow connections
    cr --> cell_qc
    cell_qc --> norm
    norm --> feature
    norm --> markers
    feature --> dim_red
    dim_red --> cluster
    dim_red --> traj
    dim_red --> viz
    cluster --> markers
    markers --> annot

    %% Feedback loops (dashed grey)
    annot -.-> cell_qc
    annot -.-> feature
    annot -.-> dim_red
    annot -.-> cluster
    annot --> downstream

    %% Edge labels
    cr -.-|"Load into<br/>SingleCellExperiment"| cell_qc
    annot -.-|"Repeat<br/>as needed"| cell_qc

    %% Color styling
    classDef green fill:#009E73,stroke:#000,stroke-width:2px,color:#000
    classDef blue fill:#56B4E9,stroke:#000,stroke-width:2px,color:#000
    classDef yellow fill:#F0E442,stroke:#000,stroke-width:2px,color:#000
    classDef orange fill:#E69F00,stroke:#000,stroke-width:2px,color:#000

    class cr green
    class cell_qc,norm,markers,annot blue
    class feature,dim_red,cluster,viz,traj yellow
    class downstream orange

From raw reads to a UMI count matrix

Alevin

$ salmon -h
salmon v1.3.0

Usage:  salmon -h|--help or
        salmon -v|--version or
        salmon -c|--cite or
        salmon [--no-version-check] <COMMAND> [-h | options]

Commands:
     index      : create a salmon index
     quant      : quantify a sample
     alevin     : single cell analysis # <------
     swim       : perform super-secret operation
     quantmerge : merge multiple quantifications into a single file

Alevin

$ salmon index ...
$ salmon alevin
   -l ISR                    # library type
   -1 read1.fastq.gz         # reads
   -2 read2.fastq.gz         # reads
   --chromiumv3              # chemistry
   -i /path/to/salmon/index  # index path
   -o /path/to/output        # output
   --tgMap transcript_to_gene.tsv

Alevin output files

$ls alevin/
alevin.log          # run info
featureDump.txt     # info on each cell barcode
quants_mat.gz       # binary file with UMI counts
quants_mat_cols.txt # genes in count matrix
quants_mat_rows.txt # cell barcodes in count matrix
quants_tier_mat.gz  # info about mapping for each gene
whitelist.txt       # valid barcodes discovered by alevin

AlevinQC

Can generate interactive QC reports using alevinQC

PBMC QC report

QC: cell or empty droplet?

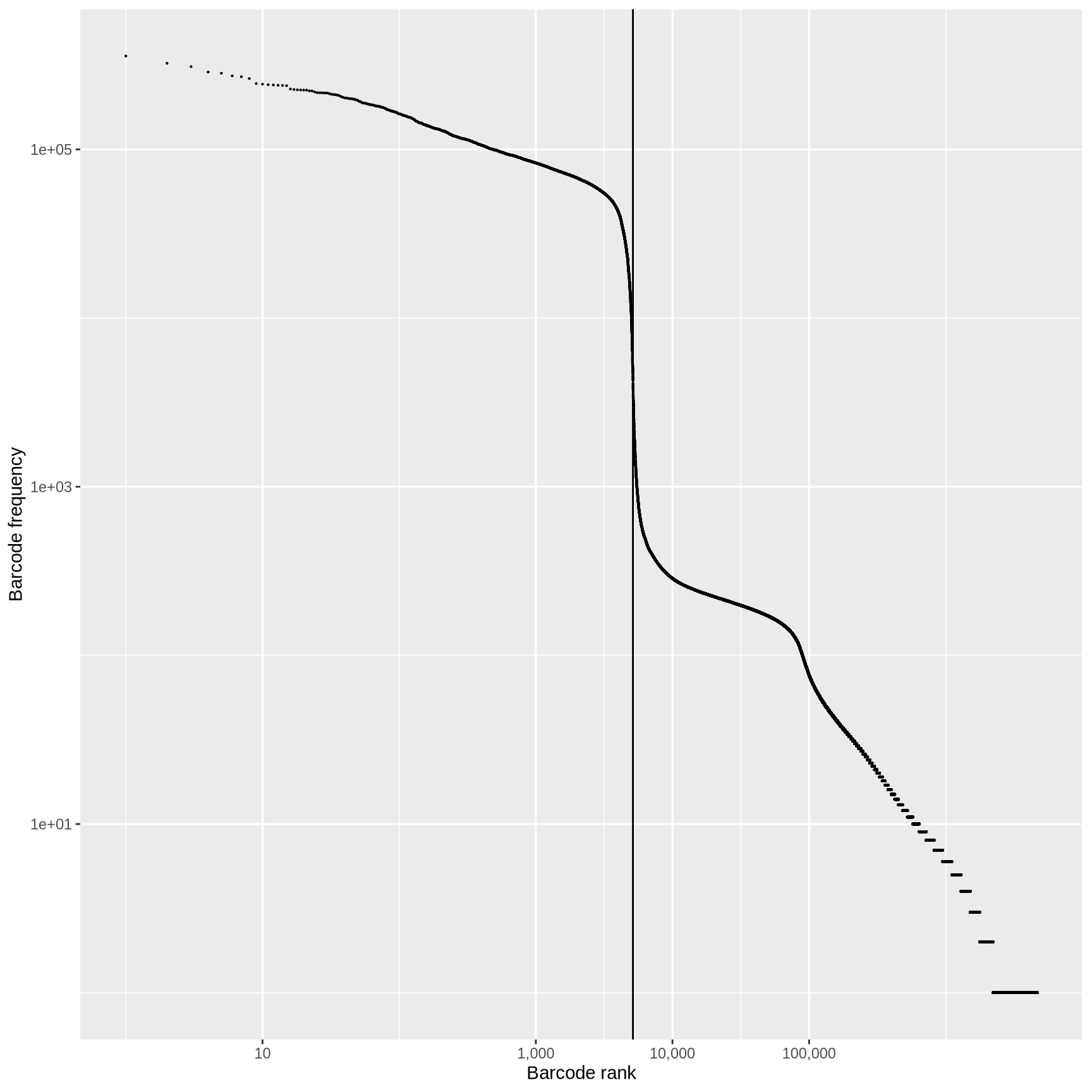
  • In a typical droplet scRNA-seq experiment 100k - 1M cell barcodes are detected, but only 1-10k cells are loaded

  • Most of these droplets are “empty” and contain very few reads.

  • What is the source of these reads in the “empty” droplets?

  • How do we determine if the data from a particular cell barcode is derived from a single cell?

library(alevinQC)

alevin <- readAlevinQC(
  baseDir = here("data/block-rna/scrna/pbmc")
)

cell_counts <- alevin$cbTable

ggplot(
  cell_counts,
  aes(ranking, originalFreq)
) +
  geom_point(size = 0.1) +
  scale_x_log10(labels = scales::comma, breaks = c(10, 1000, 10000, 100000)) +
  scale_y_log10() +
  labs(
    x = "Barcode rank",
    y = "Barcode frequency"
  )

Description of the plot - PLEASE FILL IN

QC: cell or empty droplet?

frst_dev <- max(cell_counts$ranking[cell_counts$inFirstWhiteList])

ggplot(cell_counts, aes(ranking, originalFreq)) +
  geom_point(size = 0.1) +
  scale_x_log10(labels = scales::comma, breaks = c(10, 1000, 10000, 100000)) +
  scale_y_log10() +
  geom_vline(xintercept = frst_dev) +
  labs(
    x = "Barcode rank",
    y = "Barcode frequency"
  )

Description of the plot - PLEASE FILL IN

  • Fit a curve to the observed data and identify point where first derivative is minimized.

  • Any barcodes less than the “knee”, test sequences for off-by-one errors against the barcodes above the knee.

  • Take top half of cells above the knee and train a classifier using multiple criteria (% mapping, % mitochondrial and rRNA reads, duplicate rate, …)

  • Classify ambiguous cells in lower half into likely cells or not.

QC: Cell or empty droplet?

Good data

ggplot(cell_counts, aes(ranking, originalFreq)) +
  geom_point(aes(color = inFinalWhiteList), size = 0.1) +
  scale_x_log10(labels = scales::comma, breaks = c(10, 1000, 10000, 100000)) +
  scale_y_log10() +
  labs(
    x = "Barcode rank",
    y = "Barcode frequency",
    color = "Cell"
  )

Description of the plot - PLEASE FILL IN

Bad data

Cell calling sanity check

  • It’s always a good think to sanity check your data
  • After calling cells, how can we perform a sanity check?
  • I once reanalyzed data from a published paper and found that they had treated two separate sequencing runs as two separate captures. If this happens to you, what is a quick and easy way to make sure you treated your data correctly at the cell calling step?

Doublets and Multiplets

  • Doublets are not clearly identifiable using simple QC metrics, so cannot be reliably removed with filtering with # of UMIs or genes detected.

  • scran::doublet_cluster : Compare each cluster to an in silico mix of two other clusters. Get per cluster score of likelihood of being a doublet.

  • scran::doublet_cell : Compare each cell to a mix of two other randomly selected cells. Get per cell score of likelihood of being a doublet.

  • Doublets can also arise due to sample prep, e.g. incomplete generations of a single cell suspension. These doublets are difficult to exclude from the data

Turning to our exercise ⌨️

Before jumping into the analysis, let’s step back and start running through the exercise for today

Start by loading in the packages

library(here)
library(scran)
library(scater)
library(SingleCellExperiment)
library(DropletUtils)
library(tximport)
library(Matrix)
library(AnnotationHub)
library(eds)

Raw data: the UMI count matrix ⌨️

  • scRNA-seq libraries produce reads from 100,000 - 1,000,000 cell barcodes

  • A matrix of 20,000 genes x 1,000,000 barcodes is 20 billion values (!).

  • >95% are zeros due to empty droplets and the low efficiency of the library prep (< 10-20% of RNA captured).

vals <- c(
  0,
  0,
  0,
  2,
  0,
  0,
  1,
  0,
  0,
  0,
  0,
  0,
  0,
  0,
  0,
  0,
  0,
  0,
  0,
  1,
  0,
  0,
  0,
  0,
  0
)
m <- matrix(vals, ncol = 5)
m
     [,1] [,2] [,3] [,4] [,5]
[1,]    0    0    0    0    0
[2,]    0    1    0    0    0
[3,]    0    0    0    0    0
[4,]    2    0    0    0    0
[5,]    0    0    0    1    0
summary(m)
       V1            V2            V3          V4     
 Min.   :0.0   Min.   :0.0   Min.   :0   Min.   :0.0  
 1st Qu.:0.0   1st Qu.:0.0   1st Qu.:0   1st Qu.:0.0  
 Median :0.0   Median :0.0   Median :0   Median :0.0  
 Mean   :0.4   Mean   :0.2   Mean   :0   Mean   :0.2  
 3rd Qu.:0.0   3rd Qu.:0.0   3rd Qu.:0   3rd Qu.:0.0  
 Max.   :2.0   Max.   :1.0   Max.   :0   Max.   :1.0  
       V5   
 Min.   :0  
 1st Qu.:0  
 Median :0  
 Mean   :0  
 3rd Qu.:0  
 Max.   :0  

Sparse matricies ⌨️

  • Use the as function to convert to a sparse matrix
sm <- as(m, "sparseMatrix")
# alternatively
# Matrix(vals, nrow = 5)
sm
5 x 5 sparse Matrix of class "dtCMatrix"
              
[1,] . . . . .
[2,] . 1 . . .
[3,] . . . . .
[4,] 2 . . . .
[5,] . . . 1 .
  • This only stores non-zero values
  • Internally, values are stored as a row column value triplet
summary(sm)
5 x 5 sparse Matrix of class "dtCMatrix", with 3 entries
  i j x
1 4 1 2
2 2 2 1
3 5 4 1

Sparse matricies ⌨️

  • Functions at manipulate matricies (rowMeans, colSums, apply, [) can be used on sparseMatricies as long as the Matrix package is loaded.

  • How can we extract the first 2 rows and first 3 columns of the sparse matrix sm that we generated above?

Sparse matricies ⌨️

  • Functions at manipulate matricies (rowMeans, colSums, apply, [) can be used on sparseMatricies as long as the Matrix package is loaded.

  • How can we extract the first 2 rows and first 3 columns of the sparse matrix sm that we generated above?

# print subset of sm
sm[1:2, 1:3]
2 x 3 sparse Matrix of class "dgCMatrix"
          
[1,] . . .
[2,] . 1 .

Sparse matricies ⌨️

How can we calculate the sum of the columns of sm?

Sparse matricies ⌨️

How can we calculate the sum of the columns of sm?

# find column sums of sparse
colSums(sm)
[1] 2 1 0 1 0

Base R subsetting ⌨️

  • Basic R concepts for subsetting and referencing columns are important in single cell analysis
  • Vectors can be subset by index (position), logical vector (c(TRUE, FALSE)) or name (if vector is named)
letters
 [1] "a" "b" "c" "d" "e" "f" "g" "h" "i" "j" "k" "l" "m" "n"
[15] "o" "p" "q" "r" "s" "t" "u" "v" "w" "x" "y" "z"
# extract 2nd, 4th, and 6th entry
letters[c(2, 4, 6)]
[1] "b" "d" "f"

Base R subsetting ⌨️

# subset by creating logical vector
vowels <- c("a", "e", "i", "o", "u")
is_a_vowel <- letters %in% vowels

letters[is_a_vowel]
[1] "a" "e" "i" "o" "u"

Base R subsetting ⌨️

# name the letters vector with uppercase LETTERS
names(letters) <- LETTERS

# subset by name
letters[c("A", "Z")]
  A   Z 
"a" "z" 

Base R subsetting ⌨️

  • Matrices are 2 dimensional vectors and have similar subsetting rules except there are two dimensions, rows and columns.

matrix[rows_to_subset, columns_to_subset]

m <- matrix(1:24, nrow = 6)

# extract 2nd, 4th, and 6th row
m[c(2, 4, 6), ]
     [,1] [,2] [,3] [,4]
[1,]    2    8   14   20
[2,]    4   10   16   22
[3,]    6   12   18   24

Base R subsetting ⌨️

# extract 2nd and 4th column
m[, c(2, 4)]
     [,1] [,2]
[1,]    7   19
[2,]    8   20
[3,]    9   21
[4,]   10   22
[5,]   11   23
[6,]   12   24

Base R subsetting ⌨️

# first 3 rows and 2nd and 4th column
m[1:3, c(2, 4)]
     [,1] [,2]
[1,]    7   19
[2,]    8   20
[3,]    9   21

Base R subsetting ⌨️

# extract rows with totals > 50
m[rowSums(m) > 50, ]
     [,1] [,2] [,3] [,4]
[1,]    4   10   16   22
[2,]    5   11   17   23
[3,]    6   12   18   24

Base R subsetting ⌨️

# extract columns with minimum values < 8
m[, colMins(m) < 8]
     [,1] [,2]
[1,]    1    7
[2,]    2    8
[3,]    3    9
[4,]    4   10
[5,]    5   11
[6,]    6   12

Base R subsetting ⌨️

The base R data.frame and Bioconductor DataFrame can also be subset with the [ and we can reference individual vectors in a data.frame using $.

# first 3 rows and columns of mtcars data.frame
mtcars[1:3, 1:3]
               mpg cyl disp
Mazda RX4     21.0   6  160
Mazda RX4 Wag 21.0   6  160
Datsun 710    22.8   4  108

Base R subsetting ⌨️

# columns can be referenced using $, which extracts a vector
mtcars$mpg
 [1] 21.0 21.0 22.8 21.4 18.7 18.1 14.3 24.4 22.8 19.2 17.8
[12] 16.4 17.3 15.2 10.4 10.4 14.7 32.4 30.4 33.9 21.5 15.5
[23] 15.2 13.3 19.2 27.3 26.0 30.4 15.8 19.7 15.0 21.4

Base R subsetting ⌨️

# columns can be generated or overwritten using $ with assignment
mtcars$new_column_name <- "Hello!"
mtcars$wt <- mtcars$wt * 1000

# We can subset using logical vectors
# E.g. filter for rows (cars) with mpg > 20
mtcars[mtcars$mpg > 20, ]
                mpg cyl  disp  hp drat   wt  qsec vs am
Mazda RX4      21.0   6 160.0 110 3.90 2620 16.46  0  1
Mazda RX4 Wag  21.0   6 160.0 110 3.90 2875 17.02  0  1
Datsun 710     22.8   4 108.0  93 3.85 2320 18.61  1  1
Hornet 4 Drive 21.4   6 258.0 110 3.08 3215 19.44  1  0
Merc 240D      24.4   4 146.7  62 3.69 3190 20.00  1  0
Merc 230       22.8   4 140.8  95 3.92 3150 22.90  1  0
Fiat 128       32.4   4  78.7  66 4.08 2200 19.47  1  1
Honda Civic    30.4   4  75.7  52 4.93 1615 18.52  1  1
Toyota Corolla 33.9   4  71.1  65 4.22 1835 19.90  1  1
Toyota Corona  21.5   4 120.1  97 3.70 2465 20.01  1  0
Fiat X1-9      27.3   4  79.0  66 4.08 1935 18.90  1  1
Porsche 914-2  26.0   4 120.3  91 4.43 2140 16.70  0  1
Lotus Europa   30.4   4  95.1 113 3.77 1513 16.90  1  1
Volvo 142E     21.4   4 121.0 109 4.11 2780 18.60  1  1
               gear carb new_column_name
Mazda RX4         4    4          Hello!
Mazda RX4 Wag     4    4          Hello!
Datsun 710        4    1          Hello!
Hornet 4 Drive    3    1          Hello!
Merc 240D         4    2          Hello!
Merc 230          4    2          Hello!
Fiat 128          4    1          Hello!
Honda Civic       4    2          Hello!
Toyota Corolla    4    1          Hello!
Toyota Corona     3    1          Hello!
Fiat X1-9         4    1          Hello!
Porsche 914-2     5    2          Hello!
Lotus Europa      5    2          Hello!
Volvo 142E        4    2          Hello!

Read in Alevin output with tximport

  • Now that we know how to work with a sparse matrix, let’s read in our data
  • tximport has methods for importing the binary data from alevin
  • We need to supply a path to the quants_mat.gz file.
  • If you want to load multiple samples use iteration approaches (e.g. lapply, purrr::map, a for loop).
  • Also note that the eds package was installed which greatly speeds up the loading of the matrix.

We will load in data from a 10x Genomics scRNA-seq library generated from human periperhal blood mononuclear cells (PMBCS).

Read in Alevin output with tximport ⌨️

library(tximport)
tx <- tximport(
  here("data/block-rna/scrna/pbmc/alevin/quants_mat.gz"),
  type = "alevin"
)
importing alevin data is much faster after installing 'eds'
reading in alevin gene-level counts across cells 
names(tx)
[1] "abundance"           "counts"             
[3] "countsFromAbundance"

tx is a list with 3 elements, abundance, counts, and countsFromAbundance. Let’s look at the counts element

Read in Alevin output with tximport ⌨️

mat <- tx$counts
mat[5:10, 1:3]
6 x 3 sparse Matrix of class "dgTMatrix"
                GCTGCAGTCCGATCTC ACTATGGAGGTCCCTG
ENSG00000243485                .                .
ENSG00000284332                .                .
ENSG00000237613                .                .
ENSG00000268020                .                .
ENSG00000290826                .                .
ENSG00000240361                .                .
                ATTTCTGTCTCTATGT
ENSG00000243485                .
ENSG00000284332                .
ENSG00000237613                .
ENSG00000268020                .
ENSG00000290826                .
ENSG00000240361                .

Here you can see that tx$counts is a sparse matrix that is genes (rows) by cells (columns).

How many barcodes are in tx$counts? How many genes?

Read in Alevin output with tximport ⌨️

# TODO Find number of barcodes and genes in tx$counts
dim(mat)
[1] 62266  6075

What fraction of the matrix is non-zero? We can use the nnzero function from the Matrix package check

Read in Alevin output with tximport ⌨️

nnzero(mat) / length(mat) # (length = # of rows X # of columns)
[1] 0.03282941
# similarily
sum(mat > 0) / length(mat)
[1] 0.03282941

Single cell analysis packages

Key resource for single cell analysis in Bioconductor: Orchestrating Single Cell Analysis

SingleCellExperiment is the core datastructure for storing single cell data.

scran provides algorithms for low-level processing of single cell data.

scater provides plotting, data transformation, and quality control functionality

SingleCellExperiment

Create a SingleCellExperiment object ⌨️

A SingleCellExperiment object can be created from our sparse matrix using the SingleCellExperiment() function.

sce <- SingleCellExperiment(list(counts = mat))
sce
class: SingleCellExperiment 
dim: 62266 6075 
metadata(0):
assays(1): counts
rownames(62266): ENSG00000290825 ENSG00000223972 ...
  ENSG00000210195 ENSG00000210196
rowData names(0):
colnames(6075): GCTGCAGTCCGATCTC ACTATGGAGGTCCCTG ...
  ACGTAGGGTGACAGCA TCTCAGCTCGCCGAAC
colData names(0):
reducedDimNames(0):
mainExpName: NULL
altExpNames(0):

Exploring the SingleCellExperiment object ⌨️

The SingleCellExperiment object stores the gene x cell count matrix within assays().

# get list of assays
assays(sce)
List of length 1
names(1): counts
# extract single assay
assay(sce, "counts")[1:4, 1:4]
4 x 4 sparse Matrix of class "dgTMatrix"
                GCTGCAGTCCGATCTC ACTATGGAGGTCCCTG
ENSG00000290825                .                .
ENSG00000223972                .                .
ENSG00000227232                .                .
ENSG00000278267                .                .
                ATTTCTGTCTCTATGT TATCTGTAGGTGATAT
ENSG00000290825                .                .
ENSG00000223972                .                .
ENSG00000227232                .                .
ENSG00000278267                .                .

Exploring the SingleCellExperiment object ⌨️

assays(sce)$counts[1:4, 1:4]
4 x 4 sparse Matrix of class "dgTMatrix"
                GCTGCAGTCCGATCTC ACTATGGAGGTCCCTG
ENSG00000290825                .                .
ENSG00000223972                .                .
ENSG00000227232                .                .
ENSG00000278267                .                .
                ATTTCTGTCTCTATGT TATCTGTAGGTGATAT
ENSG00000290825                .                .
ENSG00000223972                .                .
ENSG00000227232                .                .
ENSG00000278267                .                .

Exploring the SingleCellExperiment object ⌨️

# convenience function for counts assay
counts(sce)[1:4, 1:4]
4 x 4 sparse Matrix of class "dgTMatrix"
                GCTGCAGTCCGATCTC ACTATGGAGGTCCCTG
ENSG00000290825                .                .
ENSG00000223972                .                .
ENSG00000227232                .                .
ENSG00000278267                .                .
                ATTTCTGTCTCTATGT TATCTGTAGGTGATAT
ENSG00000290825                .                .
ENSG00000223972                .                .
ENSG00000227232                .                .
ENSG00000278267                .                .

Accessing cell metadata ⌨️

  • We generate cell-level information
  • such as quality control metrics, clustering results, and celltype assignments.
  • This data is stored within a data frame called colData
  • access using colData()
  • Specialized Bioconductor specific data.frame class (DataFrame) which has similar semantics and functionality to a base R data.frame.

Accessing cell metadata ⌨️

# empty right now.
colData(sce)
DataFrame with 6075 rows and 0 columns
# add a sample annotation
colData(sce)$cell_source <- "PBMC"

# equivalent approach using $
sce$cell_source <- "PBMC"

colData(sce)
DataFrame with 6075 rows and 1 column
                 cell_source
                 <character>
GCTGCAGTCCGATCTC        PBMC
ACTATGGAGGTCCCTG        PBMC
ATTTCTGTCTCTATGT        PBMC
TATCTGTAGGTGATAT        PBMC
AGCCAGCCAAAGCACG        PBMC
...                      ...
CATCCCAAGTACTCGT        PBMC
CTCCTCCCATGAAGCG        PBMC
AGTTCCCCATGTCAGT        PBMC
ACGTAGGGTGACAGCA        PBMC
TCTCAGCTCGCCGAAC        PBMC

Accessing gene metadata ⌨️

  • Gene-level metadata is stored in a data.frame called rowData().
  • Use the rowData to store gene ids, symbols, and other information about genes.
# empty right now
rowData(sce)
DataFrame with 62266 rows and 0 columns

Manipulating a SingleCellExperiment ⌨️

  • Calculate the total number of counts in each cell and store these counts in the `colData().*
sce$total_counts <- colSums(counts(sce))

Manipulating a SingleCellExperiment ⌨️

  • Calculate the total number of counts for each gene, summed across cells
  • Calculate the number of cells with > 0 counts per gene
  • store both of these values in the rowData().
rowData(sce)$total_gene_counts <- rowSums(counts(sce))
rowData(sce)$n_cells_expr <- rowSums(counts(sce) > 0)
rowData(sce)
DataFrame with 62266 rows and 2 columns
                total_gene_counts n_cells_expr
                        <numeric>    <integer>
ENSG00000290825         65.594607           43
ENSG00000223972          0.000000            0
ENSG00000227232          5.506349           24
ENSG00000278267          0.000000            0
ENSG00000243485          0.333333            1
...                           ...          ...
ENSG00000198695              2054         1509
ENSG00000210194                 0            0
ENSG00000198727            274421         5704
ENSG00000210195                 0            0
ENSG00000210196                 0            0

Manipulating a SingleCellExperiment ⌨️

  • We can subset the SingleCellExperiment using the same techniques as base R data.
  • Note that dplyr verbs do not work with SingleCellExperiment
data.frame[rows, columns]

sce[genes, cells]

Manipulating a SingleCellExperiment ⌨️

  • We can subset the SingleCellExperiment using the same techniques as base R data.
  • Note that dplyr verbs do not work with SingleCellExperiment
# subset to data from first 4 genes and cells
sce[1:4, 1:4]

# subset to cells from PBMC cells
sce[, sce$cell_source == "PBMC"]


genes_to_keep <- c("ENSG00000223972", "ENSG00000210195", "ENSG00000210196")
sce[genes_to_keep, ]

cells_to_keep <- c("ACTATGGAGGTCCCTG", "GCTGCAGTCCGATCTC", "TCTCAGCTCGCCGAAC")
sce[, cells_to_keep]

Manipulating a SingleCellExperiment

ncol(): # of cells nrow(): # of gene dims(): # of genes and cells rownames(): rownames in matrices (e.g. genes) colnames(): colnames in matrices (e.g. cells) cbind(): combine multiple SingleCellExperiments by column rbind(): combine multiple SingleCellExperiments by row

Storing gene identifiers

  • Ensembl gene ids are the rownames of our matrix (e.g. ENSG00000289576, ENSG00000221539).
  • These identifiers are guaranteed to be unique and are more stable and reliable than gene symbols (e.g. ACTB, GAPDH).
  • This becomes important if you want to compare to external datasets or ensure that your data can be easily used by others in the future.
  • But they aren’t easy to interpret

Storing gene identifiers ⌨️

ah <- AnnotationHub()
# download ensembl database
ens_db <- ah[["AH113665"]]
downloading 1 resources
retrieving 1 resource
loading from cache
require("ensembldb")
gene_names <- mapIds(
  ens_db,
  keys = rownames(sce),
  keytype = "GENEID",
  column = "SYMBOL"
)

rowData(sce)$gene <- gene_names
rowData(sce)$gene_id <- rownames(sce)
rowData(sce)
DataFrame with 62266 rows and 4 columns
                total_gene_counts n_cells_expr        gene
                        <numeric>    <integer> <character>
ENSG00000290825         65.594607           43     DDX11L2
ENSG00000223972          0.000000            0     DDX11L1
ENSG00000227232          5.506349           24      WASH7P
ENSG00000278267          0.000000            0   MIR6859-1
ENSG00000243485          0.333333            1 MIR1302-2HG
...                           ...          ...         ...
ENSG00000198695              2054         1509      MT-ND6
ENSG00000210194                 0            0       MT-TE
ENSG00000198727            274421         5704      MT-CYB
ENSG00000210195                 0            0       MT-TT
ENSG00000210196                 0            0       MT-TP
                        gene_id
                    <character>
ENSG00000290825 ENSG00000290825
ENSG00000223972 ENSG00000223972
ENSG00000227232 ENSG00000227232
ENSG00000278267 ENSG00000278267
ENSG00000243485 ENSG00000243485
...                         ...
ENSG00000198695 ENSG00000198695
ENSG00000210194 ENSG00000210194
ENSG00000198727 ENSG00000198727
ENSG00000210195 ENSG00000210195
ENSG00000210196 ENSG00000210196

Updating our rownames ⌨️

  • Goal rename rownames to symbols
  • Problem, some are , NA, or duplicated
  • uniquifyFeatureNames() is a convenience function that will rename gene symbols that are NA or duplicated values to the ensembl ID or a combination of gene symbol and ensembl ID
rownames(sce) <- uniquifyFeatureNames(
  rowData(sce)$gene_id,
  rowData(sce)$gene
)
head(rownames(sce))
[1] "DDX11L2_ENSG00000290825" "DDX11L1"                
[3] "WASH7P"                  "MIR6859-1"              
[5] "MIR1302-2HG"             "MIR1302-2"              

Filtering low quality cells ⌨️

Next we perform some filtering and quality control to remove low expression genes and poor quality cells.

Our SingleCellExperiment has 62266 genes in the matrix. Most of these are not expressed. We want to exclude these genes as they won’t provide any useful data for the analysis.

# exclude genes expressed in fewer than 10 cells (~ 1% of cells)
rowData(sce)$n_cells <- rowSums(counts(sce) > 0)
sce <- sce[rowData(sce)$n_cells >= 10, ]
sce
class: SingleCellExperiment 
dim: 20858 6075 
metadata(0):
assays(1): counts
rownames(20858): DDX11L2_ENSG00000290825 WASH7P ...
  MT-ND6 MT-CYB
rowData names(5): total_gene_counts n_cells_expr gene
  gene_id n_cells
colnames(6075): GCTGCAGTCCGATCTC ACTATGGAGGTCCCTG ...
  ACGTAGGGTGACAGCA TCTCAGCTCGCCGAAC
colData names(2): cell_source total_counts
reducedDimNames(0):
mainExpName: NULL
altExpNames(0):

Filtering low quality cells

To exclude low-quality cells we will use the following metrics:

  • Number of counts per cell barcode
  • Number of genes detected per barcode
  • The percentage of counts from mitochondrial genes per barcode

A low number of counts, a low number of detected genes, and a high percentage of mitochondrial counts suggests that the cell had a broken membrane and the cytoplasmic mRNA leaked out.

Filtering low quality cells ⌨️

To calculate these metrics we can use addPerCellQCMetrics from scater. Mitochondrial genes are named with a common “MT-” prefix (e.g. MT-CO2, MT-ATP6, MR-RNR2), which we can use to identify them.

# identify subset of genes that are from mitochondrial genome
is_mito <- startsWith(rowData(sce)$gene, "MT-")
sce <- addPerCellQCMetrics(sce, subsets = list(Mito = is_mito))
colData(sce)
DataFrame with 6075 rows and 8 columns
                 cell_source total_counts       sum
                 <character>    <numeric> <numeric>
GCTGCAGTCCGATCTC        PBMC        31924   31908.0
ACTATGGAGGTCCCTG        PBMC        35845   35801.5
ATTTCTGTCTCTATGT        PBMC        31788   31758.3
TATCTGTAGGTGATAT        PBMC        32025   31998.0
AGCCAGCCAAAGCACG        PBMC        29882   29856.0
...                      ...          ...       ...
CATCCCAAGTACTCGT        PBMC          151   151.000
CTCCTCCCATGAAGCG        PBMC          133   132.500
AGTTCCCCATGTCAGT        PBMC          173   172.667
ACGTAGGGTGACAGCA        PBMC          255   253.000
TCTCAGCTCGCCGAAC        PBMC          144   144.000
                  detected subsets_Mito_sum
                 <integer>        <numeric>
GCTGCAGTCCGATCTC      5718          2668.49
ACTATGGAGGTCCCTG      6073          3963.23
ATTTCTGTCTCTATGT      6377          2496.33
TATCTGTAGGTGATAT      6260          2961.15
AGCCAGCCAAAGCACG      5746          2660.44
...                    ...              ...
CATCCCAAGTACTCGT       132               12
CTCCTCCCATGAAGCG       131                6
AGTTCCCCATGTCAGT       166                8
ACGTAGGGTGACAGCA       217               13
TCTCAGCTCGCCGAAC       149                4
                 subsets_Mito_detected subsets_Mito_percent
                             <integer>            <numeric>
GCTGCAGTCCGATCTC                    13              8.36307
ACTATGGAGGTCCCTG                    15             11.07002
ATTTCTGTCTCTATGT                    15              7.86038
TATCTGTAGGTGATAT                    15              9.25417
AGCCAGCCAAAGCACG                    15              8.91092
...                                ...                  ...
CATCCCAAGTACTCGT                     5              7.94702
CTCCTCCCATGAAGCG                     5              4.52830
AGTTCCCCATGTCAGT                     6              4.63320
ACGTAGGGTGACAGCA                     6              5.13834
TCTCAGCTCGCCGAAC                     2              2.77778
                     total
                 <numeric>
GCTGCAGTCCGATCTC   31908.0
ACTATGGAGGTCCCTG   35801.5
ATTTCTGTCTCTATGT   31758.3
TATCTGTAGGTGATAT   31998.0
AGCCAGCCAAAGCACG   29856.0
...                    ...
CATCCCAAGTACTCGT   151.000
CTCCTCCCATGAAGCG   132.500
AGTTCCCCATGTCAGT   172.667
ACGTAGGGTGACAGCA   253.000
TCTCAGCTCGCCGAAC   144.000

Filtering low quality cells ⌨️

We can use the plotColData() function from scater to plot various metrics (as a ggplot2 object).

plotColData(sce, y = "sum")

Filtering low quality cells ⌨️

We can use the plotColData() function from scater to plot various metrics (as a ggplot2 object).

plotColData(sce, y = "detected")

Filtering low quality cells ⌨️

We can use the plotColData() function from scater to plot various metrics (as a ggplot2 object).

plotColData(sce, y = "detected", x = "sum", colour_by = "subsets_Mito_percent")

Filtering low quality cells ⌨️

We can use the plotColData() function from scater to plot various metrics (as a ggplot2 object).

plotColData(sce, y = "subsets_Mito_percent", x = "sum") +
  labs(x = "# of counts")

Filtering low quality cells ⌨️

We can also extract colData as a dataframe to make custom ggplot2 plots

cell_info <- as.data.frame(colData(sce))
ggplot(cell_info, aes(sum, subsets_Mito_percent)) +
  geom_point()
Description of the plot - PLEASE FILL IN

Filtering low quality cells ⌨️

  • Selecting an appropriate cutoff can be somewhat arbitrary
  • Risk of excluding meaningful cell populations.
  • Start with lenient cutoffs, then later increasing the stringency after examining the clustering and cell types.

How many cells pass these criteria?

pass_qc <- sce$subsets_Mito_percent < 20 &
  sce$detected > 500 &
  sce$sum > 1000

How many cells pass these criteria?

Filtering low quality cells ⌨️

sum(pass_qc)
[1] 4565

Visualizing qc failed cells ⌨️

sce$pass_qc <- sce$subsets_Mito_percent < 20 &
  sce$detected > 500 &
  sce$sum > 1000

plotColData(sce, y = "subsets_Mito_percent", x = "sum", colour_by = "pass_qc") +
  labs(x = "# of counts")

Remove low quality cells ⌨️

Lastly we can subset the SingleCellExperiment to exclude the low-quality cells.

sce <- sce[, sce$pass_qc]
sce
class: SingleCellExperiment 
dim: 20858 4565 
metadata(0):
assays(1): counts
rownames(20858): DDX11L2_ENSG00000290825 WASH7P ...
  MT-ND6 MT-CYB
rowData names(6): total_gene_counts n_cells_expr ...
  n_cells subsets_Mito
colnames(4565): GCTGCAGTCCGATCTC ACTATGGAGGTCCCTG ...
  CTGGATCCACCGTACG TACAACGGTCTCGCGC
colData names(9): cell_source total_counts ... total
  pass_qc
reducedDimNames(0):
mainExpName: NULL
altExpNames(0):

Analysis workflow

flowchart LR
    %% Green nodes
    load["Import data<br/>tximport::tximport()<br/>SingleCellExperiment()<br/>counts()"]

    %% Blue nodes
    cell_qc["QC cells<br/>addPerCellQCMetrics()<br/>plotColData()"]
    norm["Normalize UMI counts<br/>quickCluster()<br/>computeSumFactors()<br/>logNormCounts()"]
    markers["Discover cell type markers<br/>scoreMarkers()"]
    annot["Annotate cell types<br/>clustifyr and SingleR"]

    %% Yellow nodes
    feature["Identify variable genes<br/>modelGeneVarByPoisson()<br/>getTopHVGs()"]
    dim_red["Dimensionality reduction via PCA<br/>runPCA()"]
    cluster["Clustering<br/>clusterCells()"]
    viz["Make 2D-Visualization<br/>runUMAP()"]

    %% Main workflow connections
    load --> cell_qc
    cell_qc --> norm
    norm --> feature
    norm --> markers
    feature --> dim_red
    dim_red --> cluster
    dim_red --> viz
    cluster --> markers
    markers --> annot

    %% Feedback loops (dashed grey)
    annot -.-> cell_qc
    annot -.-> feature
    annot -.-> dim_red
    annot -.-> cluster

    %% Styling
    classDef green fill:#009E73,stroke:#000,stroke-width:1px,color:#000
    classDef blue fill:#56B4E9,stroke:#000,stroke-width:1px,color:#000
    classDef yellow fill:#F0E442,stroke:#000,stroke-width:1px,color:#000

    class load green
    class cell_qc,norm,markers,annot blue
    class feature,dim_red,cluster,viz yellow

flowchart LR
    %% Green nodes
    load["Import data<br/>tximport::tximport()<br/>SingleCellExperiment()<br/>counts()"]

    %% Blue nodes
    cell_qc["QC cells<br/>addPerCellQCMetrics()<br/>plotColData()"]
    norm["Normalize UMI counts<br/>quickCluster()<br/>computeSumFactors()<br/>logNormCounts()"]
    markers["Discover cell type markers<br/>scoreMarkers()"]
    annot["Annotate cell types<br/>clustifyr and SingleR"]

    %% Yellow nodes
    feature["Identify variable genes<br/>modelGeneVarByPoisson()<br/>getTopHVGs()"]
    dim_red["Dimensionality reduction via PCA<br/>runPCA()"]
    cluster["Clustering<br/>clusterCells()"]
    viz["Make 2D-Visualization<br/>runUMAP()"]

    %% Main workflow connections
    load --> cell_qc
    cell_qc --> norm
    norm --> feature
    norm --> markers
    feature --> dim_red
    dim_red --> cluster
    dim_red --> viz
    cluster --> markers
    markers --> annot

    %% Feedback loops (dashed grey)
    annot -.-> cell_qc
    annot -.-> feature
    annot -.-> dim_red
    annot -.-> cluster

    %% Styling
    classDef green fill:#009E73,stroke:#000,stroke-width:1px,color:#000
    classDef blue fill:#56B4E9,stroke:#000,stroke-width:1px,color:#000
    classDef yellow fill:#F0E442,stroke:#000,stroke-width:1px,color:#000

    class load green
    class cell_qc,norm,markers,annot blue
    class feature,dim_red,cluster,viz yellow

Normalization ⌨️

  • Normalization attempts to correct for technical biases that will distort biological signal in the data.
  • A large source of variation arises due to differences in sequencing depth between cells.
  • This can be seen by performing PCA on the unnormalized counts.
  • We will use runPCA from scater to perform PCA.
# set seed for functions with a randomized component
# to obtain the same result each execution
set.seed(42)
sce <- runPCA(sce, exprs_values = "counts", name = "count_PCA")

Normalization ⌨️

  • We can now visualize this PCA
plotReducedDim(sce, "count_PCA", colour_by = "sum")

Note that PC1 is correlated with the total UMI counts (sum), meaning that the largest source of variation is related to differences in sequencing depth rather than biological differences between cells.

Normalization ⌨️

plot_df <- makePerCellDF(sce, c("count_PCA", "sum"))

ggplot(plot_df, aes(count_PCA.1, sum)) +
  geom_point()
Description of the plot - PLEASE FILL IN

Normalization ⌨️

  • Normalize with scran
  1. Crude clustering to group related cells
  2. Identifying a cell-specific normalization factor (size factor)
  3. Scaling the counts by this factor
  4. log transforming the data (base 2 with a pseudocount).
set.seed(42)
clusters <- quickCluster(sce)
sce <- computeSumFactors(sce, clusters = clusters)
sce <- logNormCounts(sce)

Normalization ⌨️

Plot the PCA with normalization

set.seed(42)
sce <- runPCA(sce, exprs_values = "logcounts", name = "PCA")
plotReducedDim(sce, "PCA", colour_by = "sum")

Normalization ⌨️

plot_df <- makePerCellDF(sce, c("PCA", "sum"))
ggplot(plot_df, aes(PCA.1, sum)) +
  geom_point()
Description of the plot - PLEASE FILL IN

PC1 no longer correlates with UMI counts.

Further Reading

eBook: Orchestrating single cell analyses with Bioconductor eBook Publication

Review: Current best practices for analysis

Blog: Single Cell Thoughts

Blog: What do you mean “heterogeneity”