Stats Bootcamp - class 13

Hypothesis testing

Srinivas Ramachandran

RNA Bioscience Initiative | CU Anschutz

2026-03-27

Prepare mouse biochem data

# we are reading the data directly from the internet
biochem <- read_tsv(
  "http://mtweb.cs.ucl.ac.uk/HSMICE/PHENOTYPES/Biochemistry.txt",
  show_col_types = FALSE
) |>
  janitor::clean_names()

# simplify names a bit more
colnames(biochem) <- gsub(
  pattern = "biochem_",
  replacement = "",
  colnames(biochem)
)

# we are going to simplify this a bit and only keep some columns
keep <- colnames(biochem)[c(1, 6, 9, 14, 15, 24:28)]
biochem <- biochem[, keep]

# get weights for each individual mouse
# careful: did not come with column names
weight <- read_tsv(
  "http://mtweb.cs.ucl.ac.uk/HSMICE/PHENOTYPES/weight",
  col_names = F,
  show_col_types = FALSE
)

# add column names
colnames(weight) <- c("subject_name", "weight")

# add weight to biochem table and get rid of NAs
# rename gender to sex
b <- inner_join(biochem, weight, by = "subject_name") |>
  na.omit() |>
  rename(sex = gender)

Learning objectives

  • Formulate and Execute null hypothesis testing
  • Identify and Perform the proper statistical test for data type/comparison
  • Calculate and Interpret p-values

Parametric vs Nonparametric tests

Parametric tests are suitable for normally distributed data.

Nonparametric tests are suitable for any continuous data. Though these tests have their own sets of assumption, you can think of Nonparametric tests as the ranked versions of the corresponding parametric tests.

More on choosing Parametric vs Non-Parametric

Info Parametric Nonparametric
better descriptor mean median
# of samples (N) many few

Random variables

Response Variable ( y - aka dependent or outcome variable): this variable is predicted or its variation is explained by the explanatory variable. In an experiment, this is the outcome that is measured following manipulation of the explanatory variable.

Explanatory Variable ( x - aka independent or predictor variable): explains variations in the response variable. In an experiment, it is manipulated by the researcher.

Appropriate statistical test cheatsheet

Relationship between 2 or more quantitative variables?

Correlation: summarize the direction and strength of the relationships between 2 or more variables. 

Regression: build model/formula to predict a response, \(y\), from one or more explanatory variable \(x\).

Association between two continuous variables (x and y)

\(y\) is independent of \(x\)

\(y\) is continuous

\(x\) is continuous

Parametric: Pearson correlation

cor_test(x, y, method="Pearson")

Nonparametric: Spearman correlation (ranked values)

cor_test(x, y, method="Spearman")

  1. Declare null hypothesis \(\mathcal{H}_0\)
  2. Calculate test-statistic, exact p-value

Correlation vs Regression

Correlation Regression
Description Association between 2 or more variables How an response variable is numerically related to explanatory variable(s)
Usage To represent linear relationship between two variables To fit a best line and estimate one variable on the basis of another variable
Response vs Explanatory variables Doesn’t matter must define (i.e. order of relationship matters)
Interpretation Correlation coefficient indicates direction and extent to which two variables move together Regression indicates the impact of a unit change in the explanatory variable (x) on the response variable (y)
Goal To find a numerical value expressing the relationship between variables To estimate values of response variable on the basis of the values of explanatory variable(s)

Null hypothesis testing

  1. Examine and specify the variable(s)
  2. Declare null hypothesis \(\mathcal{H}_0\)
  3. Calculate test-statistic, exact p-value

We will not stick to this super closely for correlation, but will for regression.

Pearson correlation

It was developed by Karl Pearson from a related idea introduced by Francis Galton in the 1880s, and for which the mathematical formula was derived and published by Auguste Bravais in 1844.[a][6][7][8][9] The naming of the coefficient is thus an example of Stigler’s Law (see list of examples here).

Interpretation of coefficient:

1 = perfect linear correlation

0 = no correlation

-1 = perfect linear anti-correlation

\(Corr(x,y) = \displaystyle \frac {\sum_{i=1}^{n} (x_{i} - \overline{x})(y_{i} - \overline{y})}{\sum_{i=1}^{n} \sqrt(x_{i} - \overline{x})^2 \sqrt(y_{i} - \overline{y})^2}\)

\(x_{i}\) = the “i-th” observation of the variable \(x\)

\(\overline{x}\) = mean of all observations of \(x\)

\(y_{i}\) = the “i-th” observation of the variable \(y\)

\(\overline{y}\) = mean of all observations of \(y\)

Association between mouse \(weight\) and \(tot\_cholesterol\)

ggscatter(data = b, y = "weight", x = "tot_cholesterol")

we previously established these are normal enough > \(\mathcal{H}_0\) is no (linear) relationship between \(tot\_cholesterol\) and \(weight\)

b |>
  cor_test(weight, tot_cholesterol, method = "pearson")
# A tibble: 1 × 8
  var1   var2      cor statistic        p conf.low conf.high
  <chr>  <chr>   <dbl>     <dbl>    <dbl>    <dbl>     <dbl>
1 weight tot_ch…  0.35      16.0 8.92e-54    0.313     0.394
# ℹ 1 more variable: method <chr>

P value well below 0.05

\(\mathcal{H}_0\) is no relationship between \(tot\_cholesterol\) and \(weight\) NOT WELL SUPPORTED

So there is a (linear) relationship between \(tot\_cholesterol\) and \(weight\)

Visualize Pearson correlation

ggscatter(
  data = b,
  y = "weight",
  x = "tot_cholesterol"
) +
  stat_cor(
    method = "pearson",
    label.x = 1,
    label.y = 30
  )

Visualize Pearson correlation

Manual calculation of Pearson correlation

\(Corr(x,y) = \displaystyle \frac {\sum_{i=1}^{n} (x_{i} - \overline{x})(y_{i} - \overline{y})}{\sum_{i=1}^{n} \sqrt(x_{i} - \overline{x})^2 \sqrt(y_{i} - \overline{y})^2}\)

# mean total cholesterol
m_chol <- mean(b$tot_cholesterol)

# average weight
m_weight <- mean(b$weight)

# difference from mean total cholesterol
diff_chol <- b$tot_cholesterol - m_chol

# difference from mean total cholesterol
diff_weight <- b$weight - m_weight

# follow formula above
manual_pearson <- sum(diff_chol * diff_weight) /
  (sqrt(sum(diff_chol^2)) * sqrt(sum(diff_weight^2)))

manual_pearson

Manual calculation of Pearson correlation

[1] 0.3540731

Spearman Correlation (nonparametric)

Spearman’s rank correlation coefficientor Spearman’s ρ, named after Charles Spearman is a nonparametric measure of rank correlation (statistical dependence between the rankings of two variables). It assesses how well the relationship between two variables can be described using a monotonic function.

More info here.

b |>
  cor_test(weight, tot_cholesterol, method = "spearman")
# A tibble: 1 × 6
  var1   var2              cor  statistic        p method  
  <chr>  <chr>           <dbl>      <dbl>    <dbl> <chr>   
1 weight tot_cholesterol  0.36 603954134. 1.54e-55 Spearman

P value well below 0.05

\(\mathcal{H}_0\) is no relationship between \(tot\_cholesterol\) and \(weight\) NOT WELL SUPPORTED

Visualize Spearman correlation

ggscatter(
  data = b,
  y = "weight",
  x = "tot_cholesterol"
) +
  stat_cor(
    method = "spearman",
    label.x = 1,
    label.y = 30
  )

Visualize Spearman correlation

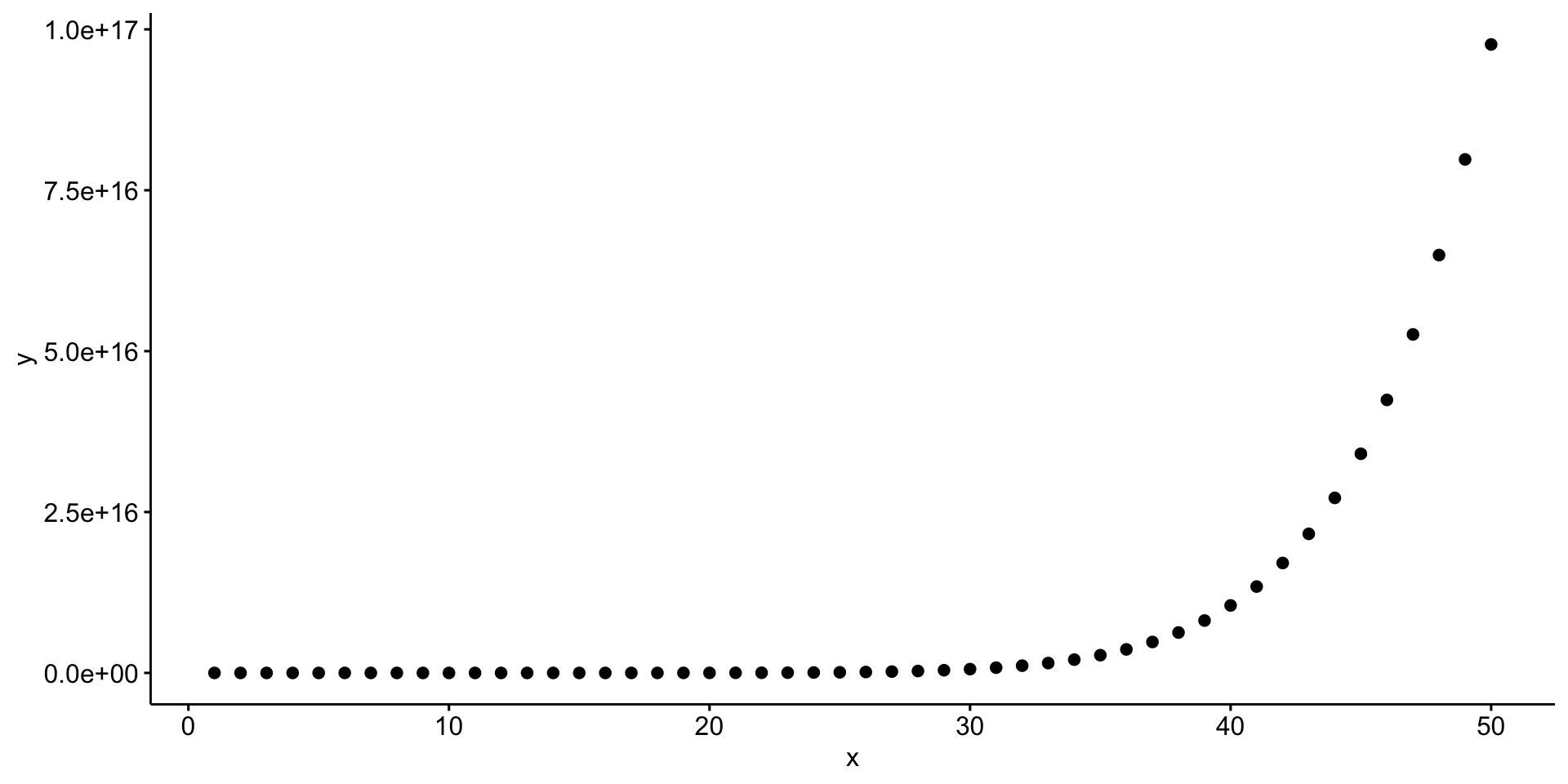
Let’s create a hypothetical example

create tibble \(d\) with variables \(x\) and \(y\)

\(x\), 1:50

\(y\), which is \(x^{10}\)

d <- tibble(
  x = seq(1:50),
  y = x^10
)

scatter plot

ggscatter(data = d, x = "x", y = "y")

Pearson

d |>
  cor_test(x, y, method = "pearson") |>
  select(cor)
# A tibble: 1 × 1
    cor
  <dbl>
1  0.67

Spearman

d |>
  cor_test(x, y, method = "spearman") |>
  select(cor)
# A tibble: 1 × 1
    cor
  <dbl>
1     1

Additional examples with correlation

compare 1 variable to all other quantitative variables

b |>
  cor_test(weight, method = "spearman") |>
  gt()
var1 var2 cor statistic p method
weight calcium 0.110 842963811 7.02e-06 Spearman
weight glucose 0.120 826420593 1.60e-07 Spearman
weight sodium 0.190 761019970 1.99e-16 Spearman
weight tot_cholesterol 0.360 603954134 1.54e-55 Spearman
weight age 0.150 798746789 8.23e-11 Spearman
weight cage_density -0.100 1039415036 1.58e-05 Spearman
weight litter -0.035 976251231 1.38e-01 Spearman

relationship between \(weight\) and \(tot\_cholesterol\) by \(sex\)

b |>
  group_by(sex) |>
  cor_test(weight, tot_cholesterol, method = "pearson") |>
  gt()
sex var1 var2 cor statistic p conf.low conf.high method
F weight tot_cholesterol 0.10 3.063798 0.002250 0.03678781 0.1667760 Pearson
M weight tot_cholesterol 0.12 3.558249 0.000393 0.05323591 0.1827541 Pearson

Appropriate statistical test cheatsheet

Regression

We are going to change our frame work to learn about regression. The nice thing is that everything we learn for regression is applicable to all the tests we just learned.

The simplicity underlying common tests

Most of the common statistical models (t-test, correlation, ANOVA; etc.) are special cases of linear models or a very close approximation. This simplicity means that there is less to learn. It all comes down to:

\(y = a \cdot x + b\)

This needless complexity multiplies when students try to rote learn the parametric assumptions underlying each test separately rather than deducing them from the linear model.

Equation for a line

Remember:
\(y = a \cdot x + b\)
OR
\(y = b + a \cdot x\)

\(a\) is the SLOPE (2) \(b\) is the y-intercept (1)

d <- tibble(
  x = c(-1, 3),
  y = c(-1, 6)
)

ggplot(data = d, aes(x = x, y = y)) +
  geom_blank() +
  geom_abline(
    intercept = 1,
    slope = 2,
    col = "red"
  ) +
  theme_linedraw()

Description of the plot - PLEASE FILL IN

Stats equation for a line

Model:

\(y\) equals the intercept (\(\beta_0\)) pluss a slope (\(\beta_1\)) times \(x\).

\(y = \beta_0 + \beta_1 x \qquad \qquad \mathcal{H}_0: \beta_1 = 0\)

… which is the same as \(y = b + a \cdot x\).

The short hand for this in R: y ~ 1 + x

R interprets this as:

y = 1*number + x*othernumber

The task of t-tests, lm, etc., is simply to find the numbers that best predict \(y\).

Stats equation for a line

All you need is an intercept (\(\beta_0\)) and a slope (\(\beta_1\)) to get a line:

ggplot(data = d, aes(x = x, y = y)) +
  geom_blank() +
  geom_abline(
    intercept = 1,
    slope = 2,
    col = "red"
  ) +
  theme_linedraw()

Description of the plot - PLEASE FILL IN

\(\beta_0\) = 1 (the y-intercept), \(\beta_1\) = 2 (the slope)

\(y = \beta_0 \cdot 1 + \beta_1 \cdot x\)

\(y = 1 \cdot 1 + 2 \cdot x\)

\(y = 1 + 2x\)

Our mission: FIND THE BEST \(\beta\) coefficients

Linear Regression

  • STEP 1: Make a scatter plot visualize the linear relationship between x and y.
  • STEP 2: Perform the regression
  • STEP 3: Look at the \(R^2\), \(F\)-value and \(p\)-value
  • STEP 4: Visualize fit and errors
  • STEP 5: Calculate \(R^2\), \(F\)-value and \(p\)-value ourselves

STEP 1: Can mouse cholesterol levels explain mouse weight?

Plot \(weight\) (y, response variable) and \(tot_cholesterol\) (x, explanatory variable)

ggplot(
  data = b,
  aes(
    y = weight,
    x = tot_cholesterol
  )
) +
  geom_point(size = .5) +
  scale_color_manual() +
  theme_linedraw()
Description of the plot - PLEASE FILL IN

STEP 2: Do the regression

Keep calm and fit a line! Remember: \(y = \beta_0 \cdot 1+ \beta_1 \cdot x\)

linear model equation: \(weight = \beta_0 \cdot 1 + \beta_1 \cdot tot\_cholesterol\)

\(\mathcal{H}_0:\) \(tot\_cholesterol\) does NOT explain \(weight\) Null Hypothesis: \(\mathcal{H}_0: \beta_1 = 0\)

\(weight = \beta_0 \cdot 1 + 0 \cdot tot\_cholesterol\) \(weight = \beta_0 \cdot 1\)

\(\mathcal{H}_1:\) Mouse \(tot\_cholesterol\) does explain \(weight\)

\(weight = \beta_0 \cdot 1 + \beta_1 \cdot tot\_cholesterol\)

The cool thing here is that we can assess and compare our null and alternative hypothesis by learning and examining the model coefficients (namely the slope). Ultimately, we are comparing a complex model (with cholesterol) to a simple model (without cholesterol).

https://statisticsbyjim.com/regression/interpret-constant-y-intercept-regression/

STEP 4: Look at the \(R^2\), \(F\)-value and \(p\)-value

# fitting a line
fit_WvC <- lm(
  data = b,
  formula = weight ~ 1 + tot_cholesterol
)


# base R summary of fit
summary(fit_WvC)

Call:
lm(formula = weight ~ 1 + tot_cholesterol, data = b)

Residuals:
    Min      1Q  Median      3Q     Max 
-8.9624 -2.1349 -0.2627  2.0113 10.2927 

Coefficients:
                Estimate Std. Error t value Pr(>|t|)    
(Intercept)      14.5560     0.3635   40.04   <2e-16 ***
tot_cholesterol   1.8516     0.1159   15.97   <2e-16 ***
---
Signif. codes:  
0 '***' 0.001 '**' 0.01 '*' 0.05 '.' 0.1 ' ' 1

Residual standard error: 3.121 on 1780 degrees of freedom
Multiple R-squared:  0.1254,    Adjusted R-squared:  0.1249 
F-statistic: 255.1 on 1 and 1780 DF,  p-value: < 2.2e-16

That’s a lot of info, but how would I access it? Time to meet your new best friend:

Broom

Tidying output

information about the model fit

glance(fit_WvC) |>
  gt() |>
  fmt_number(columns = r.squared:statistic, decimals = 3)
r.squared adj.r.squared sigma statistic p.value df logLik AIC BIC deviance df.residual nobs
0.125 0.125 3.121 255.141 8.924155e-54 1 -4555.615 9117.229 9133.686 17335.95 1780 1782

information about the intercept and coefficients

tidy(fit_WvC) |>
  gt() |>
  fmt_number(columns = estimate:statistic, decimals = 3)
term estimate std.error statistic p.value
(Intercept) 14.556 0.363 40.044 1.482991e-250
tot_cholesterol 1.852 0.116 15.973 8.924155e-54

save the intercept and slope into variable to use later

chol_intercept <- tidy(fit_WvC)[1, 2]

chol_slope <- tidy(fit_WvC)[2, 2]

for every 1 unit increase in cholesterol there is a 1.85 unit increase weight

ggplot(
  data = b,
  aes(
    y = weight,
    x = tot_cholesterol
  )
) +
  geom_smooth(method = "lm") +
  geom_point(size = .5) +
  scale_color_manual() +
  theme_linedraw()
`geom_smooth()` using formula = 'y ~ x'
Description of the plot - PLEASE FILL IN

Collecting residuals and other information

add residuals and other information

b_WvC <- augment(fit_WvC, data = b)

b_WvC
# A tibble: 1,782 × 17
   subject_name calcium glucose sodium tot_cholesterol
   <chr>          <dbl>   <dbl>  <dbl>           <dbl>
 1 A048005080      1.97   12.2     123            3.01
 2 A048005112      2.11   11.0     133            2.46
 3 A048006555      1.71    5.97    119            3.57
 4 A048007096      2.49   10.6     148            2.61
 5 A048010273      2.14   11.9     131            2.04
 6 A048010371      2.16   10.6     134            2.86
 7 A048011287      2.29    9.62    146            3.22
 8 A048011554      1.69    9.82    117            3.47
 9 A048012562      1.84   11.0     121            3.35
10 A048013559      2.31    4.96    144            2.29
# ℹ 1,772 more rows
# ℹ 12 more variables: family <chr>, sex <chr>, age <dbl>,
#   cage_density <dbl>, litter <dbl>, weight <dbl>,
#   .fitted <dbl>, .resid <dbl>, .hat <dbl>, .sigma <dbl>,
#   .cooksd <dbl>, .std.resid <dbl>

What are Residuals

Residuals, \(e\) — the difference between the observed value of the response variable \(y\) and the explanatory value \(\widehat{y}\) is called the residual. Each data point has one residual. Specifically, it is the distance on the y-axis between the observed \(y_{i}\) and the fit line.

\(e = y_{i} - \widehat{y}\)

Residuals with large absolute values indicate the data point is NOT well explained by the model.

STEP 5: Visualize fit and errors

Visualize the residuals OR the error around the fit

ggplot(
  data = b_WvC,
  aes(x = tot_cholesterol, y = weight)
) +
  geom_point(size = 1, aes(color = .resid)) +
  geom_abline(
    intercept = pull(chol_intercept),
    slope = pull(chol_slope),
    col = "red"
  ) +
  scale_color_gradient2(
    low = "blue",
    mid = "black",
    high = "yellow"
  ) +
  geom_segment(
    aes(
      xend = tot_cholesterol,
      yend = .fitted
    ),
    alpha = .1
  ) + # plot line representing residuals
  theme_linedraw()
Description of the plot - PLEASE FILL IN

Visualize the total error OR the error around the null. So no cholesterol fit, just the mean of y.

avg_weight <- mean(b_WvC$weight)

ggplot(
  data = b_WvC,
  aes(x = tot_cholesterol, y = weight)
) +
  geom_point(size = 1, aes(color = weight - avg_weight)) +
  geom_abline(
    intercept = avg_weight,
    slope = 0,
    col = "red"
  ) +
  scale_color_gradient2(
    low = "blue",
    mid = "black",
    high = "yellow"
  ) +
  geom_segment(
    aes(
      xend = tot_cholesterol,
      yend = avg_weight
    ),
    alpha = 25
  ) + # plot line representing residuals
  theme_linedraw()
Description of the plot - PLEASE FILL IN

STEP 6: Calculate \(R^2\), \(F\)-value, \(p\)-value ourselves

What is \(R^2\)

\(R^2\) — the coefficient of determination, which is the proportion of the variance in the response variable that is predictable from the explanatory variable(s).

\(R^2 = 1 - \displaystyle \frac {SS_{fit}}{SS_{null}}\)

\(SS_{fit}\) — sum of squared errors around the least-squares fit

\(SS_{fit} = \sum_{i=1}^{n} (data - line)^2 = \sum_{i=1}^{n} (y_{i} - (\beta_0 \cdot 1+ \beta_1 \cdot x)^2\)

\(SS_{null}\) — sum of squared errors around the mean of \(y\)

\(SS_{null} = \sum_{i=1}^{n} (data - mean)^2 = \sum_{i=1}^{n} (y_{i} - \overline{y})^2\)

Calculate \(R^2\)

\(SS_{fit}\) — sum of squared errors around the least-squares fit

ss_fit <- sum(b_WvC$.resid^2)
ss_fit
[1] 17335.95

\(SS_{null}\) — sum of squared errors around the mean of \(y\)

ss_null <- sum(
  (b_WvC$weight - avg_weight)^2
)
ss_null
[1] 19820.85

\(R^2 = 1 - \displaystyle \frac {SS_{fit}}{SS_{null}}\)

rsq <- 1 - ss_fit / ss_null

glance(fit_WvC) |> select(r.squared)
# A tibble: 1 × 1
  r.squared
      <dbl>
1     0.125

BTW this is the same \(R\) as from the Pearson correlation, just squared:

b |>
  cor_test(weight, tot_cholesterol, method = "pearson") |>
  mutate(rsq = cor^2) |>
  pull(rsq) |>
  round(2)
 cor 
0.12 

Interpret \(R^2\)

There is a 13% reduction in the variance when we take mouse \(cholesterol\) into account
OR
\(cholesterol\) explains 13% of variation in mouse \(weight\)

What is the F-statistic

F-statistic — based on the ratio of two variances: the explained variance (due to the model) and the unexplained variance (residuals).

\(F = \displaystyle \frac{SS_{fit}/(p_{fit}-p_{null})} {SS_{null}/(n-p_{fit})}\)

\(p_{fit}\) — number of parameters (coefficients) in the fit line

\(p_{null}\) — number of parameters (coefficients) in the mean line

\(n\) — number of data points

Calculate the F-statistic

\(F = \displaystyle \frac{SS_{null} - SS_{fit}/(p_{fit}-p_{null})} {SS_{fit}/(n-p_{fit})}\)

pfit <- 2
pnull <- 1
n <- nrow(b_WvC)

f <- ((ss_null - ss_fit) / (pfit - pnull)) /
  (ss_fit / (n - pfit))


f
[1] 255.1411
glance(fit_WvC) |> select(statistic)
# A tibble: 1 × 1
  statistic
      <dbl>
1      255.

P-values

You don’t really need to know what the \(F-statistic\) is unless you want to calculate the p-value. In this case we need to generate a null distribution of \(F-statistic\) values to compare to our observed \(F-statistic\).

Therefore, we will randomize the \(tot_cholesterol\) and \(weight\) and then calculate the \(F-statistic\).


We will do this many many times to generate a null distribution of \(F-statistic\)s.



The p-value will be the probability of obtaining an \(F-statistic\) in the null distribution at least as extreme as our observed \(F-statistic\).

Let’s get started

# set up an empty tibble to hold our null distribution
fake_biochem <- tribble()

# we will perform 100 permutations
myPerms <- 100

for (i in 1:myPerms) {
  tmp <- bind_cols(
    b_WvC[sample(nrow(b_WvC)), "weight"],
    b_WvC[sample(nrow(b_WvC)), "tot_cholesterol"],
    "perm" = factor(rep(i, nrow(b_WvC)))
  )

  fake_biochem <- bind_rows(fake_biochem, tmp)
  rm(tmp)
}


# let's look at permutations 1 and 2
ggplot(
  fake_biochem |> filter(perm %in% c(1:2)),
  aes(x = weight, y = tot_cholesterol, color = perm)
) +
  geom_point(size = .1) +
  theme_minimal()

Let’s get started

Description of the plot - PLEASE FILL IN

Run 100 linear models!

Now we will calculate and extract linear model results for each permutation individually using nest, mutate, and map functions

fake_biochem_lms <- fake_biochem |>
  nest(data = -perm) |>
  mutate(
    fit = map(data, ~ lm(weight ~ tot_cholesterol, data = .x)),
    glanced = map(fit, glance)
  ) |>
  unnest(glanced)

Visualize the null

Let’s take a look at the null distribution of F-statistics from the randomized values

ggplot(
  fake_biochem_lms,
  aes(x = statistic)
) +
  geom_density(color = "red") +
  theme_minimal()

Description of the plot - PLEASE FILL IN

remember that the \(F-statistic\) we observed was ~255!

ggplot(fake_biochem_lms, aes(x = statistic)) +
  xlim(0, f * 1.1) +
  geom_density(color = "red") +
  geom_vline(xintercept = f, color = "blue") +
  #  scale_x_log10() +
  theme_minimal()

In our 100 randoized simulations, we never see an F-statistic as extreme as the one we observed in the actual data. Therefore:

P < 0.01 or 1/100

Reminder, our calculate P value was:

Description of the plot - PLEASE FILL IN

How to find the best (least squares) fit?

  1. Rotate the line of fit
  2. Find the fit that minimizes the Sum of Squared Residuals or \(SS_{fit}\)
  3. This is the derivative (slope of tangent at best point = 0) of the function describing the \(SS_{fit}\) and the next rotation is 0.

References

Differences between correlation and regression

also more differences between correlation and regression.

Common statistical tests are linear models from Jonas Lindeløv

Statquest

Stats gobbledygook

Linear Regression Assumptions and Diagnostics in R: Essentials

PRINCIPLES OF STATISTICS from GraphPad/SAS.

Statquest: how to go from F-statistic to p-value

StatQuest: Fitting a line to data, aka least squares, aka linear regression.

StatQuest: Gradient Descent, Step-by-Step